Wir sind Ihr kompetenter Ansprechpartner bei der Bewertung der folgenden Objektarten: Wohn- und Gewerbeimmobilien, Logistik- und Industrieimmobilien, Handelsimmobilien, Hotelimmobilien, Sozialimmobilien (Alten- und Pflegeheime)
Die Alterswertminderung von Immobilien beschreibt den altersbedingten Wertverlust eines Gebäudes, der durch natürliche Abnutzung und Alterungsprozesse entsteht. In der Immobilienbewertung ist dies vor allem für folgende zwei Verfahren relevant:
Sachwertverfahren:
Hier wird der Wertverlust anhand der baulichen Substanz und der Restnutzungsdauer ermittelt. Das lineare Abschreibungsmodell, bei dem der prozentuale Wertverlust durch das Verhältnis von (Gesamtnutzungsdauer – Restnutzungsdauer) zur Gesamtnutzungsdauer berechnet wird, ist weit verbreitet. Alternative Modelle wie die Abschreibung nach Ross und Vogels berücksichtigen unterschiedliche Dynamiken im Wertverlust und liefern entsprechend angepasste Ergebnisse.
Ertragswertverfahren:
Bei diesem Ansatz fließt die Alterswertminderung indirekt in die Bewertung ein, da sie die zukünftigen Einnahmen (z. B. Mieteinnahmen) und damit die Rendite einer Immobilie beeinflusst.
Zusätzlich können Modernisierungsmaßnahmen, wie energetische Sanierungen oder der Einsatz moderner Technologien, die wirtschaftliche Nutzungsdauer verlängern und den Abschreibungsfaktor senken. Die Berechnungen basieren auf gesetzlichen Vorgaben, insbesondere gemäß § 38 der ImmoWertV, der das Verhältnis von Restnutzungsdauer zu Gesamtnutzungsdauer festlegt.

Die Alterswertminderung von Immobilien beschreibt den jährlichen, altersbedingten Wertverlust eines Gebäudes. Dieser entsteht durch natürliche Abnutzung, Verschleiß und die fortschreitende Alterung der Bausubstanz. Die Bewertung des Wertverlusts ist entscheidend für die Wertermittlung, da sie nicht nur den aktuellen Marktwert, sondern auch die zukünftige Wirtschaftlichkeit einer Immobilie beeinflusst.
Je nach Bewertungsmethode wird der Wertverlust unterschiedlich ermittelt:
Die lineare Alterswertminderung beschreibt einen gleichmäßig verlaufenden Wertverlust eines Objektes über die Jahre. Ausgangspunkt sind dabei die Gebäudeherstellungskosten, die zu Beginn zu 100 % vorhanden sind. Für Bestandsimmobilien, also nicht für Neubauten, wird das Verhältnis der wirtschaftlichen Restnutzungsdauer zur Gesamtnutzungsdauer herangezogen. Die Berechnung erfolgt in einem Vomhundertsatz der ursprünglichen Herstellungskosten.
Die Formel lautet:

Beispiel:
Berechnung:

Das bedeutet:
Bei der linearen Abschreibung reduziert sich der Wert der baulichen Anlage nach 20 Jahren um 25 % der Herstellungskosten.
AUSGEZEICHNET Basierend auf 24 Bewertungen Gepostet auf martin wilitzkiTrustindex überprüft, ob die Originalquelle der Bewertung Google ist. Ich habe Herrn Pauly bei einer Besichtigung eines Mehrfamilienhauses mitgenommen, um mir eine Einschätzung, wie gewisse Auffälligkeiten zu bewerten sind, zu geben. Diese Einschätzung war sehr professionell und hilfreich. Ich konnte aufgrund seines Feedbacks ein klares Bild gewinnen. Ich werde weiterhin sehr gerne mit Herrn Paul zusammenarbeiten.Gepostet auf Tobias KrostTrustindex überprüft, ob die Originalquelle der Bewertung Google ist. Die Terminvereinbarung war total unkompliziert und schnell. Knut Pauly kam persönlich vorbei, war sehr freundlich und hat alles zügig erledigt. Besonders beeindruckt hat mich, dass er das Gutachten sogar übers Wochenende fertiggestellt hat, damit ich es rechtzeitig beim Finanzamt einreichen konnte – obwohl die Abgabefrist schon sehr knapp war. Das Gutachten selbst ist äußerst professionell, detailliert und umfangreich. Absolut empfehlenswert – jederzeit wieder!Gepostet auf Susan WegnerTrustindex überprüft, ob die Originalquelle der Bewertung Google ist. Super schnelle und kompetente Ausführung - von ESTIMADO, Herrn Pauly- unseres eiligen Immobilien-Gutachtens & zudem netter und sehr freundlicher Kontakt. Herzlichen Dank dafür! Wir empfehlen ESTIMADO uneingeschränkt weiter.Gepostet auf Vira paulyTrustindex überprüft, ob die Originalquelle der Bewertung Google ist. Wir haben eine sehr professionelle Immobilienbewertung von Herrn Pauly erhalten! Der Sachverständige Herr Pauly hat sich viel Zeit genommen, die Immobilie gründlich zu besichtigen und alle relevanten Unterlagen in die Marktwertermittlung einzubeziehen. Das Gutachten war verständlich aufbereitet und hilft uns sehr eine gütliche Einigung in unserer Erbschaftsangelegenheit zu finden. Besonders überzeugt hat mich die transparente Kommunikation und die fachliche Kompetenz. Absolute Empfehlung für alle, die eine verlässliche Immobilienbewertung suchen!“Gepostet auf Stefan EisenacherTrustindex überprüft, ob die Originalquelle der Bewertung Google ist. Ich kann diesen Gutachter voll empfehlen, endlich mal ein Mensch, der nicht nur an seine eigene Vorteile denkt Und dazu noch sehr nett und menschlich ist Er hat mich sehr gut beraten und volle Fachkompetenz Wenn ich könnte, würde ich sechs Sterne geben Es ging um ein Wertgutachten für ein Dreifamilienhaus Grüße, Stefan EisenacherGepostet auf Alex ManakasTrustindex überprüft, ob die Originalquelle der Bewertung Google ist. Sehr schnelle und vertrauensvolle Zusammenarbeit. Kann ich nur weiterempfehlen!Gepostet auf M BiegTrustindex überprüft, ob die Originalquelle der Bewertung Google ist. Herr Pauly hat uns mit der Erstellung einer Stellungnahme zum Mietwert sehr kompetent, zügig und zuverlässig unterstützt. Wir schätzten besonders die schnelle Reaktionszeit, die transparente Beratung und seine sehr gute Erreichbarkeit. Die Einschätzung war eine große Hilfe für unser weiteres Vorgehen. Wir können ESTIMADO uneingeschränkt weiterempfehlen.Gepostet auf Lars GerlachTrustindex überprüft, ob die Originalquelle der Bewertung Google ist. Dank des Gutachtens von Herrn Pauly spare ich nun jährlich viel Steuern. Die Zusammenarbeit wir sehr freundlich, professionell und sympathisch. Kann ich zu 100 % empfehlen.Gepostet auf Engin RöperTrustindex überprüft, ob die Originalquelle der Bewertung Google ist. Herr Pauly hat für mich ein Restwertgutachten für ein Mehrfamilienhaus erstellt und ich bin rundum zufrieden. Die Abwicklung war professionell, schnell und absolut zuverlässig. Das Gutachten war detailliert und nachvollziehbar, und alle meine Fragen wurden geduldig beantwortet. Ich kann diesen Service nur weiterempfehlen – hier ist man in besten Händen!”Gepostet auf Little Lord DunphyTrustindex überprüft, ob die Originalquelle der Bewertung Google ist. Ich habe die Dienste von Herrn Pauly in Anspruch genommen und kann ihn uneingeschränkt weiterempfehlen. Vom ersten Kontakt an war er äußerst professionell, kompetent und sehr zuverlässig. Die Immobilienbewertung wurde detailliert und präzise durchgeführt, und alle relevanten Faktoren wurden umfassend berücksichtigt. Die erstellte Gutachten war klar strukturiert und wurde zeitnah geliefert. Ich fühlte mich während des gesamten Prozesses bestens beraten und betreut.
Die Abschreibung nach Ross berücksichtigt, dass in den ersten Jahren meist ein geringerer Wertverlust stattfindet als in späteren Jahren. Obwohl dieses dynamische Modell eine bessere Abbildung der realen Marktbedingungen ermöglichen könnte, wurde es durch Vorgaben der ImmoWertV weniger verbreitet.
Die Berechnungsformel lautet:
Beispiel (bei denselben Werten wie oben):
Berechnung:

Daraus ergeben sich:
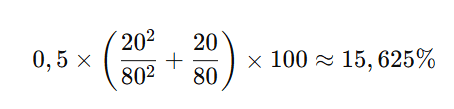
Das Verfahren nach Vogels basiert auf empirisch ermittelten Kaufpreisen. Hier verbleibt nach Ablauf der Gesamtnutzungsdauer ein Restwert von ca. 20 %, da in der Praxis stets Instandhaltungsmaßnahmen vorgenommen werden. Dies reflektiert, dass kein Gebäude ohne Pflege vollständig verfallen würde.
Die Formel lautet:

Beispiel:
Für eine 20 Jahre alte Immobilie mit einer Gesamtnutzungsdauer von 80 Jahren ergibt sich:
Die Berechnung der Alterswertminderung basiert auf gesetzlichen Grundlagen, insbesondere aus § 38 der ImmoWertV. Der Alterswertminderungsfaktor wird hier als Verhältnis der Restnutzungsdauer zur Gesamtnutzungsdauer der Immobilie definiert.
Im Ertragswertverfahren fließt der altersbedingte Wertverlust durch die Alterswertminderung indirekt in die Bewertung ein. Hier steht nicht der materielle Zustand des Gebäudes, sondern der zukünftige wirtschaftliche Nutzen (z. B. Mieteinnahmen) im Mittelpunkt. Eine geringere Restnutzungsdauer führt zu höheren Abschreibungsraten und wirkt sich somit auf den Ertragswert aus. Diese Methode wird vor allem bei renditeorientierten Investitionsentscheidungen eingesetzt, da sie den dynamischen Aspekt der Ertragsentwicklung einer Immobilie berücksichtigt.
Unabhängig vom gewählten Bewertungsverfahren kann durch gezielte Modernisierungen der altersbedingte Wertverlust einer Immobilie reduziert werden. Energetische Sanierungen, die Erneuerung von Heizungsanlagen oder der Einsatz moderner Baumaterialien verlängern die wirtschaftliche Nutzungsdauer. Dies führt zu einer niedrigeren Alterswertminderung und wirkt sich positiv sowohl im Alterswertminderung Sachwertverfahren als auch im Alterswertminderung Ertragswertverfahren aus.
Die Alterswertminderung von Immobilien ist ein wesentlicher Faktor, der bei der Immobilienbewertung berücksichtigt werden muss.
Ein fundiertes Verständnis dieser Methoden und die Berücksichtigung von Modernisierungen ermöglichen eine realistische und marktgerechte Bewertung Ihrer Immobilie. Ob Sie sich für das lineare Modell oder alternative Ansätze wie Ross und Vogels entscheiden – die gesetzlichen Grundlagen, insbesondere der § 38 der ImmoWertV, sichern eine nachvollziehbare und standardisierte Berechnung der Alterswertminderung.
Die Verantwortung für die Beantragung und Erstellung des Energieausweises liegt grundsätzlich beim Eigentümer – ob als Vermieter oder Verkäufer.
Die Erstellung eines Energieausweises erfordert spezielles Fachwissen und darf ausschließlich von qualifizierten Experten durchgeführt werden. Dazu zählen:
Die Wahl eines kompetenten Ausstellers beeinflusst nicht nur die Kosten, sondern auch die Genauigkeit und Aussagekraft des Berichts.
Die Ermittlung der Energieeffizienz erfolgt durch die Analyse verschiedener Faktoren:
Die Ergebnisse werden in Effizienzklassen von A+ (höchste Effizienz) bis H (geringere Effizienz) eingeteilt. Alle anfallenden Kosten für diese Berechnungen sind in den Gesamtkosten des Energieausweises enthalten.
Die rechtliche Grundlage für den Energieausweis wurde bereits 2002 mit der Energieeinsparverordnung (EnEV) geschaffen und im Mai 2021 durch das Gebäudeenergiegesetz (GEG) weiter verschärft.
Das Gebäudeenergiegesetz (GEG) bildet seit Mai 2021 die rechtliche Basis für den Energieausweis in Deutschland. Es vereint die frühere Energieeinsparverordnung (EnEV) und das Energieeinsparungsgesetz (EnEG) und definiert die Anforderungen an die energetische Bewertung von Gebäuden sowie die Ausstellung des Energieausweises.
Die Verpflichtung zur Vorlage eines Energieausweises hängt maßgeblich vom Baujahr der Immobilie ab:
Gebäude vor dem 1. November 1977:
Bei Verkauf oder Vermietung muss in der Regel ein Energieausweis vorgelegt werden.
Ausnahmen:
Bestimmte Immobilien – etwa denkmalgeschützte Gebäude oder solche mit sehr geringer Nutzfläche – können von dieser Pflicht befreit sein.
Neuere Gebäude:
Hier spielen zusätzlich Kriterien wie die Größe und die Nutzung des Gebäudes eine Rolle bei der Ausweisverpflichtung.
Im Rahmen der gesetzlichen Vorgaben existieren diverse Sonderregelungen, die den Umfang der Ausweispflicht modifizieren können. Es ist wichtig, die jeweiligen Bedingungen genau zu kennen, um die Einhaltung aller gesetzlichen Bestimmungen sicherzustellen:
Denkmalgeschützte Gebäude:
Gebäude mit geringer Nutzfläche:
Gewerbe- und Industriegebäude:
Ländliche Gebäude:
Hinweis: Die genauen Ausnahmen und Sonderregelungen können je nach Bundesland und spezifischer Gesetzeslage variieren. In Deutschland sind die zentralen Vorgaben für den Energieausweis im GEG festgelegt.
Eine energetische Modernisierung verbessert nicht nur den Wohnkomfort, sondern trägt auch erheblich zur Steigerung der Energieeffizienz bei. Zur Förderung solcher Maßnahmen stellt der Staat diverse finanzielle Unterstützungen bereit. Im Folgenden werden die wichtigsten Förderprogramme vorgestellt:
Die Bundesregierung unterstützt Eigentümer und Bauherren mit Programmen, die darauf abzielen, den CO₂-Ausstoß zu reduzieren, die Energieeffizienz zu steigern und den Einsatz erneuerbarer Energien zu fördern.
Die KfW bietet eine Vielzahl an Fördermöglichkeiten im Baubereich:
Einzelmaßnahmen:
Zuschüsse oder zinsgünstige Kredite für spezifische energetische Maßnahmen wie Wärmedämmung, Fensteraustausch oder die Optimierung der Heizungsanlage.
Effizienzhaus-Programme:
Umfassende Förderungen für die Sanierung zum KfW-Effizienzhaus. Je nach angestrebtem Standard sind attraktive Zuschüsse oder Darlehen erhältlich.
Wohneigentumsprogramm:
Unterstützung bei der Modernisierung von selbstgenutztem Wohneigentum – hier stehen besonders günstige Kreditkonditionen im Vordergrund.
Auch das BAFA stellt finanzielle Anreize für Maßnahmen zur Steigerung der Energieeffizienz bereit:
Heizungsoptimierung:
Zuschüsse zur Umrüstung auf effizientere Heizsysteme können hierbei beantragt werden.
Förderung erneuerbarer Energien:
Das BAFA unterstützt den Einbau von Anlagen zur Solarthermie oder Biomasseheizungen, um den Einsatz erneuerbarer Energien zu fördern.
Die Alterswertminderung beschreibt den altersbedingten Wertverlust einer Immobilie, der durch natürliche Abnutzung, Verschleiß und Alterungsprozesse entsteht. Sie wird in Prozent der ursprünglichen Bau- oder Herstellungskosten angegeben und berücksichtigt die verbleibende wirtschaftliche Nutzungsdauer des Gebäudes.
Bei der linearen Alterswertminderung erfolgt die Abschreibung gleichmäßig über die Gesamtnutzungsdauer. Die Formel lautet:

Beispiel: Bei einer Gesamtnutzungsdauer von 80 Jahren und einer Restnutzungsdauer von 60 Jahren beträgt der Abschlagsfaktor 25 %.
Im Sachwertverfahren wird der Wertverlust vor allem anhand der baulichen Substanz und der Restnutzungsdauer direkt ermittelt. Im Ertragswertverfahren hingegen fließt die Alterswertminderung indirekt in die Bewertung ein, da sie zukünftige Erträge (z. B. Mieteinnahmen) und damit die Rendite beeinflusst.
Die Berechnung der Alterswertminderung stützt sich auf gesetzliche Vorgaben, insbesondere auf § 38 der ImmoWertV (Immobilienwertermittlungsverordnung). Hier wird der Alterswertminderungsfaktor als Verhältnis der Restnutzungsdauer zur Gesamtnutzungsdauer definiert.
Modernisierungen, wie energetische Sanierungen oder der Einsatz moderner Baumaterialien, verlängern die wirtschaftliche Nutzungsdauer einer Immobilie. Dadurch sinkt der jährliche Abschreibungsfaktor, was zu einer geringeren Alterswertminderung und einem höheren Restwert führt.
Die Alterswertminderung nach Ross berücksichtigt, dass in den ersten Jahren eines Gebäudes ein geringerer Wertverlust entsteht als in späteren Jahren. Im Gegensatz zur gleichmäßigen linearen Abschreibung wird hier ein dynamischerer Ansatz verwendet, der den realen Zustand der Immobilie besser abbilden kann. Aufgrund von Vorgaben der ImmoWertV wird diese Methode jedoch seltener angewendet.
Die Methode nach Vogels basiert auf empirisch ermittelten Kaufpreisen und sieht vor, dass nach Ablauf der Gesamtnutzungsdauer ein Restwert von ca. 20 % verbleibt. Dies spiegelt wider, dass auch ältere Gebäude durch regelmäßige Instandhaltungen einen gewissen Wert behalten. Die Berechnungsformel lautet:

Immobilienbesitzer können die Alterswertminderung optimieren, indem sie regelmäßig in Instandhaltungs- und Modernisierungsmaßnahmen investieren. Energetische Sanierungen, die Modernisierung von Heizungssystemen und der Einsatz aktueller Baumaterialien verlängern die Restnutzungsdauer und verringern so den jährlichen Wertverlust.

Wir als ESTIMADO Gesellschaft für Immobilienbewertungen mbH verfügen über ein Team von Experten, das eine objektive Bewertung des Marktwerts einer Immobilie durch umfangreiche Daten und Analysen sicherstellt.

Durch die Zusammenarbeit mit uns, können Kunden potenzielle Risiken im Zusammenhang mit Immobilieninvestitionen identifizieren und minimieren, da das Unternehmen über fundierte Marktkenntnisse verfügt.

Kunden profitieren von fundierten Informationen und Analysen, die von uns bereitgestellt werden, um fundierte Entscheidungen über den Kauf, Verkauf oder die Bewertung von Immobilien zu treffen

Wir als das ESTIMADO-Team bieten maßgeschneiderte Beratungsdienstleistungen, die Investoren dabei helfen, ihr Portfolio entsprechend ihren Anlagezielen und Risikotoleranzen zu optimieren.

Durch die Expertise von uns können Kunden potenzielle Wachstumschancen auf dem Immobilienmarkt erkennen und nutzen, um ihre Investitionen zu erweitern und Renditen zu steigern.

Kunden von uns können in Verhandlungen über den Kauf oder Verkauf von Immobilien eine stärkere Position einnehmen, da sie auf fundierte Marktanalysen und Expertenwissen zurückgreifen können.

Mit Unterstützung durch unser ESTIMADO Team können Investoren zukünftige Entwicklungen auf dem Immobilienmarkt vorhersehen und ihre Strategien entsprechend anpassen, um auf dem Markt erfolgreich zu sein.

Unsere Dienstleistungen helfen Investoren, rentablere Investitionsentscheidungen zu treffen und ihre Rendite zu maximieren, indem sie eine genaue Bewertung des Immobilienmarktes bieten.

Unsere Kunden können sich auf die Richtigkeit und Zuverlässigkeit der getroffenen Annahmen und Bewertungen verlassen, da das Unternehmen über eine renommierte Expertise in der Immobilienbewertung verfügt.

Unsere Dienstleistungen zielen darauf ab, die individuellen Anforderungen und Ziele der Kunden zu erfüllen, um eine langfristige Kundenzufriedenheit zu gewährleisten.